Dendrologický prieskum
– bývalý areál Tesly Vráble

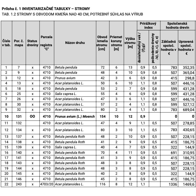
Predmetom dendrologického prieskumu je evidencia výskytu a lokalizácie taxónov drevín na určitom území s cieľom zistiť zastúpenie a stav drevín v záujmovom území. Vykonáva sa pre rôzne účely, čo ovplyvňuje škálu hodnotených atribútov drevín a charakter výstupov. Dendrologický prieskum sa vykonáva pre rôzne účely – výrubové konanie z dôvodu budúcej výstavby, v rámci procesu EIA, vypracovanie Dokumentu starostlivosti o dreviny alebo pri revitalizácii a rekonštrukcii objektov zelene atď. Výstupom dendrologického prieskumu sú: textová časť s fotodokumentáciou, tabuľková časť s dendrometrickými veličinami a vyhodnotením spoločenskej hodnoty a výkresová príloha, v ktorej sú graficky znázornené posudzované stromy a plochy porastov.

Dendrologické prieskumy vypracúvame aj v ťažko prístupných a sťažených podmienkach – opustené areály, brownfieldy, zarastené plochy náletovými drevinami a krami a podobne.

Spolupráca: Michala Poláková — Arden ateliér