Revitalizácia vnútrobloku
— Podborová, Zvolen

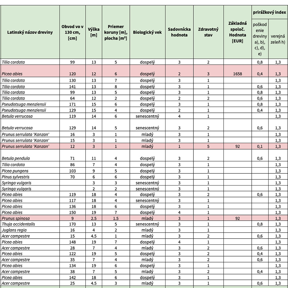
Štúdia sa zaoberá riešením verejného priestranstva medzi bytovými domami na sídlisku Podborová vo Zvolene. Cieľom bolo pozdvihnúť kvalitu verejne prístupných plôch, vrátane mobiliáru, prvkov detských ihrísk, vonkajších prvkov na cvičenie, či navrhnúť obnovu fontány. V kontexte klimatickej zmeny boli navrhované vhodné povrchy, tieniace prvky, výber drevín, skladba trvalkových záhonov a revitalizácia fontány v modernom dizajne a funkčnosti. V krajinno-architektonickom návrhu je snaha zachovať existujúce dreviny v území, no zároveň doplniť ich o ďalšie. Výsledkom by mal byť kvalitný verejný priestor pre všetky vekové kategórie, ktorý bude nabádať v ňom zotrvať.

Autorky: Mária Sklenárová, Mária Bihuňová

Rok: 2023